Rendibilidade: como calcular e onde consultar?
Quando decidimos investir num fundo de investimento, uma das primeiras perguntas que surge é: “quanto irá render o meu dinheiro?”. Para responder a isto, precisamos primeiro entender como funciona o cálculo da rendibilidade.
Antes de mais convém explicar que a rentabilidade mostra a variação do teu investimento num determinado período. É sempre apresentada em percentagem (%), e pode ser medida em diferentes prazos, sendo os mais comuns: YTD (Year-To-Date), mensal, anual e anualizada.
Dica: Antes de investires, para além da rendibilidade, deverás sempre estar ciente do nível de risco do produto e a que riscos está exposto…Para saberes mais consulta aqui o nosso post sobre riscos.
Como calcular?
O cálculo básico da rendibilidade é feito a partir da valorização da UP (unidade de participação) do fundo.
Cada investidor possui um número de UPs, e o valor dessas Ups varia todos os dias de acordo com os ativos da carteira.
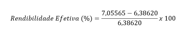
Assim a fórmula que tens de utilizar é a seguinte:
Vamos a um exemplo prático!
Imagina que no final do último ano (2024) investiste no nosso fundo Santander Acções Europa, quando a UP era de 6,38620 €.
E que queres ver qual é a tua rentabilidade ao final do mês de agosto de 2025, quando a Up atingiu os 7,05565€.
Então o teu investimento rendeu 10,48% no período.
Atenção: é importante lembrar que esta rentabilidade não inclui qualquer comissão de subscrição ou de resgate, mas o valor é líquido de todas as restantes comissões inerentes ao fundo e está ainda sujeita ao regime fiscal em vigor a cada momento. Mas de custos iremos falar no nosso próximo post…
Onde posso consultar a rendibilidade de um fundo?
Como já deves ter ouvido, rendibilidades passadas não são garantia de rendimentos futuros. No entanto, servem para verificares o desempenho de um produto num determinado período e comparares o mesmo com produtos semelhantes no mercado. Existem vários sítios nos quais podes consultar as rendibilidades históricas dos fundos, indicamos-te quais:
- Website da Sociedade Gestora: em Pesquisar Produtos no site da SAM podes encontrar as rendibilidades históricas mais frequentemente consultadas (YTD, 1/3/5 anos) e se acederes ao detalhe do produto podes ver as rendibilidades anuais dos últimos 10 anos e se quiseres calcular para um período específico (nos últimos 5 anos) podes percorrer o gráfico da “Evolução da UP” e aplicares o cálculo da rendibilidade;
- Documentos do Produto: a lei determina que os documentos dos produtos (Relatórios e Contas, Documento Único, KID/IFI e fichas mensais) também tenham esta informação, por isso, podes sempre consultar a mesma em Documentos;
- Website da CMVM: o regulador além de divulgar todos os documentos legais do produto, também divulga o valor diário da unidade de participação;
- Website APFIPP: a Associação Portuguesa de Fundos de Investimento Pensões e Património divulga as rendibilidades dos produtos de todas as associadas, pode ser o lugar ideal para comparares rendibilidades de produtos semelhantes.

